次氯酸可有效控制伤口中生物膜
微生物对伤口愈合有非常不利的影响,给患者带来了严重的痛苦和医疗负担。一旦微生物在伤口上定植,不仅容易形成生物膜和胞外聚合物,还容易导致治疗过程中耐药菌的出现,常见的耐药菌包括耐甲氧西林金黄色葡萄球菌(MRSA)和多重耐药铜绿假单胞菌(RPA)。
为了加快患者伤口愈合,避免造成感染,最有效、直接的方法是对伤口进行清创处理,因此,有效的清创处理方式及产品一直是外科医生们关注的焦点,以期能够有效去除生物膜并防止其再生。
近期,英国高级伤口护理主任丹尼尔·梅特卡夫博士及其团队成员采用了一种新型的次氯酸清创凝胶作为清创治疗药剂,以耐甲氧西林金黄色葡萄球菌和多重耐药铜绿假单胞菌为研究对象,结合构建的生物膜纱布模型,通过最小生物膜清除浓度判断该凝胶的有效性能。本项研究得出以下结果:
杀菌效果研究
工作人员发现次氯酸清创凝胶对耐甲氧西林金黄色葡萄球菌和多重耐药铜绿假单胞菌菌悬液的灭活效果非常显著,反应2分钟即可将两种细菌杀灭至检出限以下,灭活量均超过8个数量级,效果显著优于当前所使用的其他抗菌产品。

与此同时,研究者还利用荧光显微镜对细胞活性进行检测,发现经次氯酸清创凝胶处理20秒后,铜绿假单胞菌细胞膜因遭到破坏而失活,处理至2分钟后,金黄色葡萄球菌的细胞膜结构也受到显著性破坏,胞内物质流出。

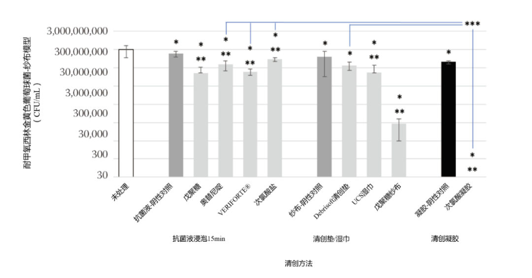
生物纱布模型研究
通过对纱布模型上的生物膜进行实验,发现次氯酸清创凝胶对纱布上金黄色葡萄球菌和铜绿假单胞菌的生物膜的去除具有很好的效果,去除量均超过6个数量级。

此外,研究中对比了八种清创方式(包括四种抗菌液浸泡、三种清创垫/湿巾擦拭、一种次氯酸清创凝胶涂抹)对生物膜纱布模型中金黄色葡萄球菌和铜绿假单胞菌的去除效果,发现次氯酸清创凝胶的处理后效果显著优于常规抗菌液浸泡和清创垫/湿巾擦拭等处理(p<0.05)。

该项研究证实,次氯酸凝胶在清创处理环节能有效去除伤口处的生物膜,对临床中常见的耐药菌具有良好的杀灭效果,在去除生物膜和抑制其生长的同时,还能避免此类细菌产生抗药性;此外,采用凝胶形式的次氯酸进行清创处理,对生物膜的去除效果显著优于其他常规方式(如消毒液、清创湿巾等),综合表明,次氯酸凝胶可作为一种替代型的清创产品应用于伤口治疗领域,具有非常广阔的应用前景。