电解水技术可去除农残
”民以食为天,食以安为先”,食品安全与民众的身体健康息息相关,也直接或间接影响到经济发展与社会稳定。
食品安全问题

目前我国面临的食品安全问题主要有以下类型:
一、生物性污染,生物性污染导致的疾病包括微生物引起的食源性疾病及其代谢毒素对健康的潜在威胁。食源性疾病是当前影响中国食品安全、危害公众健康的最主要因素。
二、化肥农药的残留,过量施用氮肥使大量的硝酸盐积蓄在作物体内,对作物本身无害,但对人畜有害。农药的过量和超范围使用,使食品中农药残留量增大,危害更严重。
三、环境对农副产品的污染,化工厂排放的化学物质、煤烟粉尘、酸雨中的化学物质等以及水体污染也会使渔业和农产品的安全性受到威胁。
四、抗生素与合成激素的滥用,动物性食物中的化学物质主要来自饲料添加剂。抗生素是畜禽养殖中常用的饲料添加剂, 应用量过大或使用不当, 都可通过食用肉、蛋、奶途径将抗生素转移到人类身上。
五、食品加工环节,违规使用添加剂,食品中含有有毒、有害物质 ,在生产制作、加工处理的环节中违规地使用防腐剂、色素、添加剂等,为食品的安全性埋下隐患。
近年来在食品工业生产领域中电解水技术的应用主要集中在:果蔬消毒和鲜切产品贮藏、水产肉蛋的杀菌、农药残留和污染物降解以及芽苗菜促生长等。
之前,关于电解水在食品微生物杀灭和保鲜中的应用我们已经介绍过很多,今天我们就来介绍一下电解水技术在农药残留去除中的应用。
同时,网络上对电解水技术去除农药残留也存在着许多质疑,通过本文也希望大家可以认识到电解水技术对农残去除的作用和可行性。
农药残留的类型
在我国常用的300多种农药中,杀虫剂占60%(发达国家为30%)。在杀虫剂中, 有机磷农药占70%。有机磷类农药微溶于水,遇碱破坏。其常见类型有有对硫磷、内吸磷、马拉硫磷、乐果、敌百虫、毒死蜱及敌敌畏等。
氨基甲酸酯类农药,是在有机磷酸酯之后发展起来的合成农药,其在水中溶解度较高,氨基甲酸酯类农药一般无特殊气味,在酸性环境下稳定,遇碱分解。常见的氨基甲酸酯类农药有西维因、涕灭威、呋喃丹、异索威等。
而拟除虫聚酯类农药中包含溴氰菊酯、氯氰菊酯、高效氯氰菊酯、氟氰菊酯、氯氟氰菊酯等。此类农药的水溶性一般较差,且酯类在碱性条件下极易产生水解反应。
电解水去农残技术研究
近年来,国内外学者在电解水技术用于果蔬农药残留上进行了大量的研究,证明了电解水技术对农残去除的可行性。
中国农业大学的刘海杰等研究了碱性电解水对果蔬中的高效氯氟氰菊酯农药残留的去除效果。结果表明,碱性电解水对于高效氯氟氰菊酯农药有较好的去除效果,最佳条件是pH11.0的碱性电解水,在20℃静置处理苹果1.5h,降解率可以达到75%以上。
邯郸市疾病预防控制中心的胡朝晖等研究了有效氯浓度为79.66ppm、pH值为6.0的微酸性电解水对韭菜中有机磷农药残留的去除效果。结果表明,在15min的处理时间内微酸性电解水对有机磷农药残留的消除效果优于同一有效氯浓度的NaClO溶液。
总后勤部军需装备研究所的绳以健等研究了臭氧在光催化作用下产生的羟基自由基(·OH) 对高效氯氰菊酯( 4.5%) 、吡虫啉和乐果三种农药残留的去除效果。结果表明,在20min的处理时间内采用新型果蔬清洗机对黄瓜进行清洗,高效氯氰菊酯农残去除率为87.6%;乐果农残的去除率为90.3%; 吡虫啉农残的去除率为91.8%。
碱性电解水主要对氨基甲酸酯类和拟除虫聚酯类农药具有较好的降解效果。酸性条件下酯的水解不完全,碱性条件下酯的水解趋于完全,这是因为碱性条件下,OH-直接对酯进行加成,之后按照加成消除反应得到羧酸盐与醇,这个反应中,是OH-直接参与反应。
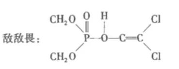
羟基自由基是一种强氧化剂,其氧化电位为 +2.80V, 仅次于氟而居第二位。羟基(·OH )不仅能够打破甲基对硫磷、马拉硫磷、 乐果、敌敌畏等有机物分子结构中的烯炔、炔烃等碳链, 而且 对其“二氯乙烯基”、“硝基”、“甲氧基 ”、“氨基”等基团有着强烈的氧化作用。这种打断连接键和基团氧化的双重作用使得上述物质的分子结构发生彻底改变, 改变了农药的性质, 从而起到解毒、降低农药残留的作用。以下以敌敌畏和乐果为例介绍羟基自由基对农残的降解机理:

经羟基自由基氧化后,二氯乙烯基与磷酸基之间的“O-C”链被打断,两个甲基与磷酸基之间的键也被打断,其结构改变,毒性消除。

甲基氨基甲酰甲基与硫代磷酸基之间的链接被打开,甲基、氨基与甲酰基脱离,结构改变,分子变小,从而降解。
而酸性电解水的主要成分为次氯酸,次氯酸也是一种氧化性较强的物质,其标准氧化电位为1.36V,其对农药的降解机理与羟基自由基相似。
果蔬清洗产品

近年来,果蔬清洗机市场出现持续繁荣的情况,其中最热门的技术就是电解水羟基技术,以下为某品牌果蔬清洗机的技术介绍:
显然,电解水技术在果蔬农残去除中的作用是无需置疑的。但是,当前果蔬清洗机尚没有国家标准,对于产品的技术指标、检测方法等也没有形成标准和规范。关于果蔬清洗机,有以下问题需要大家共同探讨:

1.活性物质的发生量有多少?采用自来水进行电解时,由于自来水中含有残留氯离子,在电解条件下会同时产生次氯酸和羟基自由基,而因为全国水质的差异,次氯酸的发生量无法作为测试指标,因此确定羟基自由基的产生量具有重要意义。
2.电解反应过程是否存在中间产物?由于电解时间和电解条件的差异,农残在降解过程不可能完全降解为水、无机盐和二氧化碳,因此,有必要对电解氧化过程中间产物进行深入探讨。
3.各类农残的去除效果差异?农药残留的类型较多,不同农药的理化性质存在较大差异,因此探究电解水羟技术对不同类型农残去除的差异也有相当的必要性。
总 结
综上所述,采用电解技术(不论是酸性电解水、碱性电解水或电解水羟基)被证明在农残去除时都具有一定的效果,尤其是电解水羟基技术因其无需电解质耗材、作用后无残留等特点,在近年来得到了广泛的应用。
电解水技术助力食品安全,是为您把好生鲜食品入口前最后一道关的有力保证!